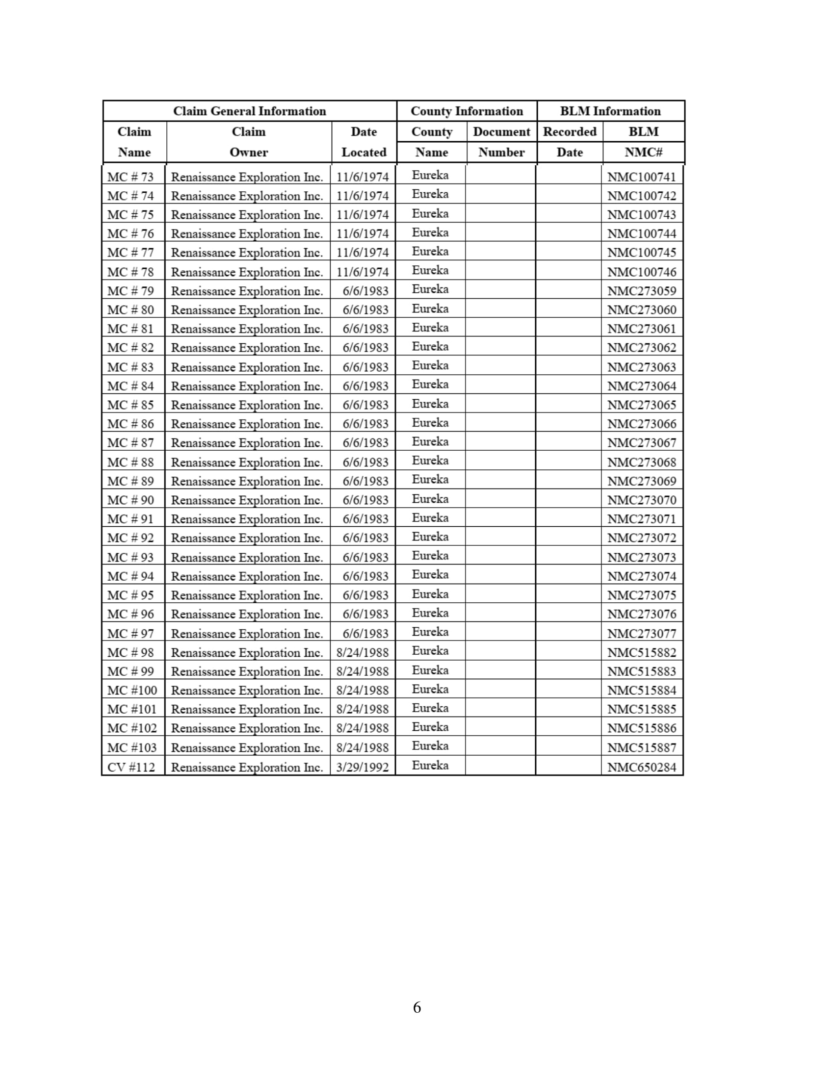
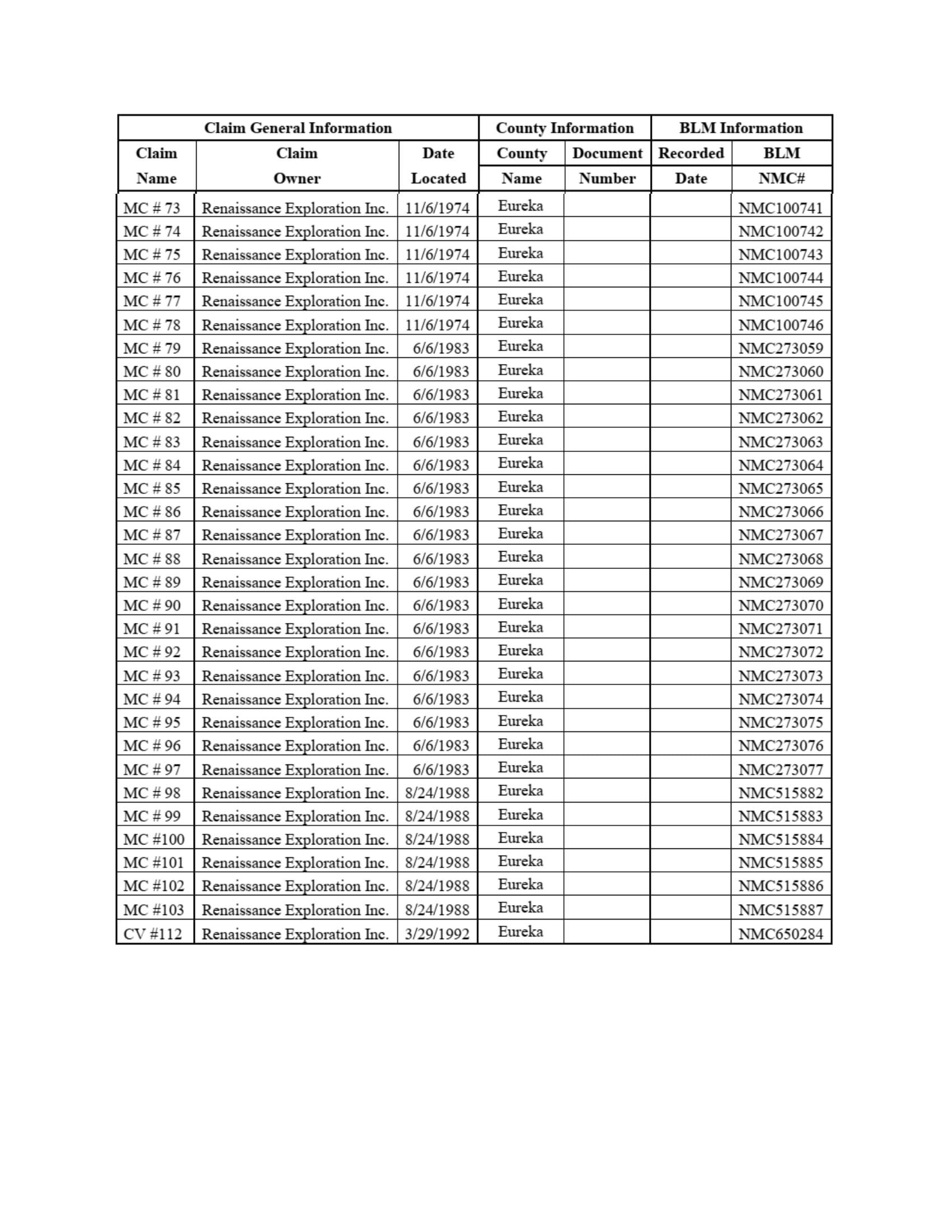
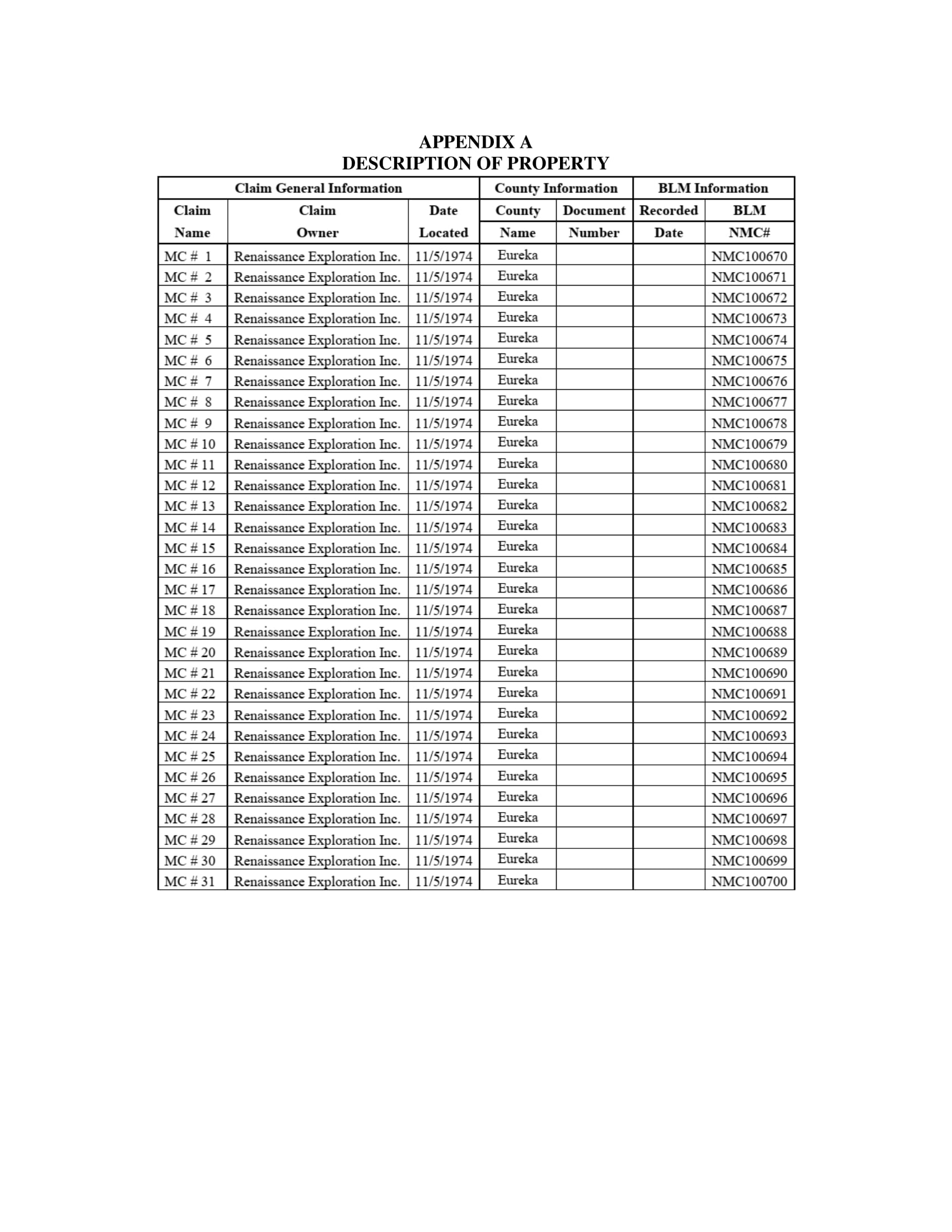
Exhibit 10.1